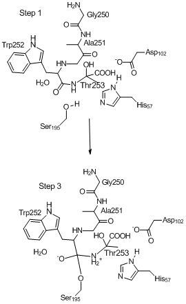
(Modeling proteins) (Chymotrypsin Mechanism: Step 1, Step 2, Step 3, Step 4, Step 5, Step 6)
![]() This transition state is higher in energy than either of the transition states for Steps 1 and 2 or Steps 2 and 3, therefore the path from Step 1 to Step 3 is not the lowest energy path. Toggle display all Toggle center picture Fit to screen Interesting parts:
Toggle spin Toggle stereo |